“I wish to be of the opposite sex.”
"UMCG-onderzoek: twijfels over gender bij jongeren op latere leeftijd vaak weg. Dit blijkt uit het onderzoek Development of Gender Non‐Contentedness During Adolescence and Early Adulthood, gepubliceerd in Archives of Sexual Behaviour.”
In het persbericht van het UMCG legt onderzoeker Sarah Burke uit dat het relatief vaak voorkomt dat jongeren vragen en twijfels hebben rondom hun genderidentiteit, maar dat dit hoort bij de puberteit en dat het normaal is. Hoewel de onderzoeksresultaten opvallend zijn -genderissues komen blijkbaar veel voor bij jongeren- is er in de media maar weinig aandacht voor. NOS Nieuws en het Dagblad van het Noorden schrijven erover, maar voor de rest blijft het stil (zie aan het eind van dit stuk voor vervolgpubliciteit).
En dat is jammer want dit onderzoek sluit aan bij de discussie over de oorzaken van de snel groeiende vraag van jongeren naar transzorg en de lange wachtlijsten. Op X zagen zowel de critici van die transzorg, als de belangenbehartigers het onderzoek als bevestiging van de eigen standpunten. Zie je wel: de gendertwijfel is bij veel jongeren tijdelijk, dus extra voorzichtigheid is geboden met ingrijpende behandelingen als puberteitsremmers. Of, zie je wel; er is een kleine groep bij wie de genderonvrede sterker wordt, dus die transzorg is hard nodig.
Het onderzoek stelt dus dat er relatief veel jongeren zijn die op enig moment bezig zijn met het idee dat ze liever van het andere geslacht willen zijn. Maar liefst 19 procent van de onderzochte jongeren van 12 tot 25 speelt op enig moment wel eens met die gedachte. Bij kinderen van 12 zegt tien procent dat wel eens te denken, maar bij de meeste jongeren verdwijnt dat naarmate ze ouder worden. Behalve bij een kleine groep van twee procent bij wie dat gevoel juist sterker wordt naarmate ze volwassen worden. Dat komt vaker voor bij meisjes en bij jongeren met psychische klachten.
Dat klinkt aannemelijk allemaal: maar hoe is dit precies onderzocht en is er wel voldoende bewijs voor deze conclusies? Zijn jongeren wel zoveel bezig met die zogenaamde genderonvrede? Neemt dat gevoel inderdaad af als ze opgroeien? En hoe zit het met die kleine groep bij wie dat gevoel toeneemt? Bij nadere beschouwing duiken de nodige conceptuele en methodologische problemen op, waardoor de conclusies minder stevig zijn dan ze worden gepresenteerd.
Het lijkt erop dat deze studie de genderonvrede onder jongeren behoorlijk overschat, zowel kwantitatief als kwalitatief. Dat komt door de vage definitie van genderonvrede, het gebruik van maar één stelling met beperkte antwoordmogelijkheden en het boven op elkaar stapelen van resultaten. Bovendien is er in de loop der jaren een enorme uitval, waardoor conclusies over toe- en afnames wankel zijn. En de data van de algemene groep lopen maar tot 2016, dus van voor de grote toename bij de genderklinieken.
TRAILS onderzoek
Deze studie is onderdeel van TRAILS (Tracking Adolescents’ Individual Lives Survey), een langlopend onderzoek van het UMCG dat sinds 2001 gegevens verzamelt over ruim 2700 Noord-Nederlandse jongeren. Het gaat om twee verschillende groepen, namelijk 2172 ‘gewone’ jongeren en 543 jongeren die onder behandeling waren in de GGZ. Op zes meetmomenten (11, 13, 16, 19, 22 en 25 jaar) zijn niet alleen vragen gesteld over gendervoorkeuren en seksuele oriëntatie, maar ook over mentale gezondheid en zelfperceptie. Het laatste meetmoment was in 2016 voor de algemene groep en 2020 voor de klinische groep.
De stelling “Ik wil van het andere geslacht zijn” is dus zes keer aan bod gekomen op verschillende leeftijden. Bij de jongste groep van 10 tot 12 jaar blijkt 11 procent het met de stelling eens te zijn, vervolgens daalt dat percentage telkens tot bij het laatste meetmoment bij 25 jaar, 3 procent over is. De geboren meisjes scoren overigens op alle meetmomenten aanzienlijk hoger dan de geboren jongens. Bij dertien jaar zijn bijna twee keer zoveel meisjes als jongens het eens met de stelling.
Hier gaat het om de ‘gewone’ jongeren, bij de klinische GGZ groep liggen de percentages vanaf 13 jaar aanzienlijk hoger en zijn de verschillen tussen jongens en meisjes nog groter dan bij de andere groep. Als ze 19 jaar oud zijn scoren de meisjes uit de klinische groep bijna 10 procent, de jongens bijna 6 procent, terwijl de andere jongeren dan nog geen drie procent meer halen. De genderissues spelen dus sterker bij de GGZ-groep, maar in beide groepen scoren de meisjes vrijwel altijd hoger op deze stelling.
![]() |
| Figuur 1 Prevalence of gender non-contentedness in both cohorts over time, distributed by sex assigned at birth |
Gender non-contentedness
Maar wat betekent het nu precies als je het eens bent met de stelling: “Ik wil van het andere geslacht zijn”? Het antwoord op de vraag verwijst volgens de onderzoekers naar wat zij definiëren als: “gender non-contentedness: referring to unhappiness with being the gender aligned with the birth-assigned sex.” Vrij vertaald: onvrede over de genderrol die hoort bij het geboortegeslacht. Het gaat dus niet om genderdysforie of een wens om ook daadwerkelijk van geslacht te veranderen.
Een meisje kan volgens de onderzoekers bijvoorbeeld een voorkeur hebben voor ‘jongensdingen’ of negatief zijn over de veranderingen die ze doormaakt tijdens de puberteit. Maar een jongen die genderdysforie heeft en die een transitie nastreeft, kan ook gender non-contentedness ervaren. Het is een breder concept dan genderdysforie aldus de onderzoekers, maar een scherpe definitie ontbreekt. En in dit onderzoek gebruiken ze maar één indicator, namelijk het antwoord op de genoemde stelling.
Het is ook geen veelgebruikte term in het wetenschappelijk discourse, waar meestal ‘genderdiversiteit’ en ‘gender non-conformiteit’ wordt gebruikt, te onderscheiden van ‘genderincongruentie’ en ‘genderdysforie’ waarvoor criteria zijn geformuleerd in DSM-5 en de WHO richtlijnen (ICD-11). Gender noncontentedness lijkt daarmee in dit onderzoek vooral te verwijzen naar een zekere ontevredenheid over het meisje of jongen zijn in een bepaalde levensfase. Als iemand ooit een keer aangeeft ‘soms’ het idee te hebben het andere geslacht te willen zijn, is dat al voldoende om mee te tellen als noncontentedness. Omdat er verder geen vragen zijn gesteld, blijft onduidelijk wat een bevestigend antwoord nu precies betekent of hoe intens of duurzaam het gevoel is. De antwoordcategorie 'altijd' ontbreekt (zie verder).
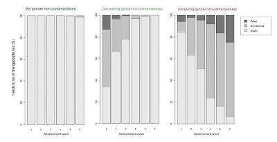
Soms of vaak? Alles telt mee in de score.
In totaal waren er maar drie (!) jongeren, 0,1 procent, die op elk meetmoment hetzelfde bevestigende antwoord gaven op de stelling over de andere sekse willen zijn. In totaal 1 of de 5, ofwel 19 procent gaf op enige moment dat bevestigende antwoord. Slechts bij 2 procent werd die wens steeds sterker naarmate ze opgroeiden. Op grond hiervan onderscheiden de onderzoekers drie groepen: geen onvrede (78%), afnemende onvrede (19%) en toenemende onvrede (2%). Zie figuur 3.
Er zijn wel kanttekeningen te plaatsen bij de keuze voor drie antwoordcategorieën: ‘nooit, soms en vaak.’ De gebruikelijke vijfpuntschaal: ‘nooit, zelden, soms, vaak, altijd’ zou andere cijfers hebben opgeleverd, zoals de onderzoekers ook zelf erkennen. Volgens de onderzoekers kan dit hebben geleid tot een overschatting van de mate waarin genderonvrede voorkomt.
Die mogelijke overschatting wordt nog eens bevorderd door het consequent bij elkaar optellen van de cijfers bij ‘soms’ en ‘vaak’, vooral ook omdat de categorie ‘vaak’ bij de meeste meetmomenten zeer lage percentages oplevert, soms zelfs van 0,1 procent (dat zijn 12 jongeren).
De categorie ‘soms’ is op veel meetmomenten twee tot vijf keer zo groot als ‘vaak’. Bij het eerste meetmoment van 11 jaar is ‘soms’ 7 procent, en ‘vaak’: 2 procent. Op latere leeftijd worden alle scores lager, maar vooral de categorie ‘vaak’: bij 16 jaar is dat bijvoorbeeld nog maar 0,3 procent en bij 19 jaar slechts 0,1 procent. Om bij 25 jaar weer een beetje te stijgen naar 1 procent (8 personen op de totale steekproef).
Intensiteit genderonvrede?
Bij de groep van 2 procent, waarbij de onvrede toeneemt is ‘soms’ ook nog steeds veel groter dan ‘vaak.’ In het laatste jaar (dan zijn ze 25 jaar) beslaat ‘soms’ 70 procent en de categorie ‘vaak’: 25 procent. Dus er valt nog wel wat af te dingen op de intensiteit van de ervaren genderonvrede bij deze groep.
Zou je alleen de jongeren meenemen die ‘vaak’ antwoorden, dan zou je niet op 2 procent uitkomen, maar waarschijnlijk op een half procent. In de steekproef van 1618 jongeren van 25 jaar zijn dat 8 (!) personen. Hadden de Groningse onderzoekers niet kunnen nagaan of zij de stap hebben gezet om zich aan te melden bij een genderkliniek? De jongeren die ‘soms’ het idee hebben liever het andere geslacht te willen zijn, zullen dat waarschijnlijk niet doen. Het is duidelijk dat er zelfs bij die groep met toenemende noncontendedness nog steeds ruimte is voor twijfel.
De onderzoekers gaan hier verder niet op in, terwijl er toch wel sprake is van een dominantie van ‘soms’ in alle cijfers, ten opzichte van ‘vaak’. De conclusie zou moeten zijn dat eenvijfde van de jongeren op enig moment het idee heeft ‘soms’ het andere geslacht te willen zijn. Zonder dat we enig idee hebben wat dat precies betekent.
Afname genderonvrede of afname deelnemers?
Volgens deze studie verdwijnt de genderonvrede bij de meeste jongeren naarmate ze ouder worden. Als ze 25 zijn antwoordt nog maar 3 procent van de meisjes en ruim 2 procent van de jongens bevestigend op de stelling. Bij de klinische groep is de afname kleiner van maximaal 12 (V) en 7 procent (M) als ze 13 zijn tot rond 7 procent als ze 25 zijn. Maar inmiddels is de onderzoeksgroep ook aanzienlijk geslonken: bij de algemene groep gaat om 39 procent minder respondenten dan bij het eerste meetmoment, bij de GGZ-groep van 43 procent. Dat maakt het ingewikkeld om de verschillende groepen op de zes meetmomenten met elkaar te vergelijken. Zeker als er geen informatie bekend is over waarom ze afhaakten. Wel merken de onderzoekers op dat er meer jongens dan meisjes afhaakten. Het is denkbaar dat de afname van de genderonvrede te maken heeft met een veranderende samenstelling van de onderzoeksgroep, maar het blijft gissen.
Factoren die samenhangen met genderonvrede
De onderzoekers hebben van verschillende factoren onderzocht of deze samenhangen met afnemende of toenemende gender noncontendedness. Dat zijn: sekse, zelfbeeld (fysiek voorkomen en eigenwaarde) seksuele oriëntatie en cohort (klinisch of niet). Daar blijkt uit de jongeren uit de toename groep vaker vrouw zijn, homoseksueel of biseksueel zijn, een laag zelfbeeld hebben en vaker onder behandeling zijn in de GGZ. Vanaf 16 jaar scoren deze jongeren hoger op allerlei problemen. Uit het totaaloverzicht bleek al dat de klinische groep vanaf 13 jaar permanent hoger scoort op genderonvrede dan de algemene populatie. Op alle meetmomenten vanaf 13 jaar liggen de percentages bij de GGZ groep veel hoger, soms zelfs ruim twee keer zo hoog. Bij 19 jaar scoort deze groep 10 (V) en 6 (M) procent, terwijl de andere groep blijft steken op 2,5 procent.
Late onset gender dysphoria
De onderzoekers stellen dat deze studie bevestigt dat gendertwijfel ook na de puberteit kan ontstaan. En dat sluit aan bij onderzoek naar zogenaamd late onset gender dysphoria, waarbij jongeren pas later genderdysforie ontwikkelen als gevolg van of in samenhang met aanpassingsproblemen en psychopathologie. Ook bevestigt deze studie dat meisjes eerder genderonvrede ontwikkelen tussen 13 en 16 jaar dan jongens. De kans dat meisjes te maken krijgen met toenemende onvrede is ook groter dan die van jongens. Dat komt overeen met de gegevens over aanmeldingen bij genderklinieken aldus de onderzoekers, waar meer meisjes dan jongens instromen.
De onderzoekers opperen als mogelijke verklaring dat het voor meisjes minder stigmatiserend is om zich mannelijk te gedragen dan voor jongens. Daarnaast zou de transitie voor meisjes meer voordelen opleveren dan voor jongens. Maar dat zijn speculaties die niet door dit onderzoek worden ondersteund. Wel speelt een negatief zelfbeeld een rol bij alle jongeren die genderonvrede signaleren. De onderzoekers hadden daarentegen niet verwacht dat fysiek voorkomen geen rol zou spelen. Behalve dan bij de jongste groep die een negatiever lichaamsbeeld heeft dan de groep die geen gendertwijfel heeft. Ook bij de groep die een GGZ behandeling krijgt is de kans op genderonvrede groter, ook dat is bevestigd door eerder klinisch onderzoek. De onderzoekers opperen als verklaring dat minority stress, discriminatie en pesten een rol kan spelen. Maar daar staat tegenover, zeggen ze, dat sinds 2001 de maatschappelijke bewustwording en sociale acceptatie is toegenomen.
Non-binaire identiteiten
Een belangrijke beperking van dit onderzoek is volgens de auteurs dat de formulering van de kernvraag “Ik wil van het andere geslacht zijn” binair is en dus andere non-binaire identiteiten uitsluit. Het is dus geen verfijnde proxy voor gender noncontendedness. Ook de drie antwoordcategorieën zorgen voor een beperking. Als er meer antwoordmogelijkheden waren geweest zoals in een vergelijkbaar onderzoek met vijf antwoordmogelijkheden (nooit, zelden, soms, vaak, altijd) dan zouden de resultaten anders zijn geweest. Daarom, aldus de onderzoekers, zijn ons cijfers mogelijk een overschatting van de prevalentie van gender noncontendedness.
Bovendien is de stelling multi-interpretabel, omdat een positief antwoord zowel kan verwijzen naar de wens om de identiteit van de andere sekse te krijgen als naar de wens om die andere genderrol over te willen nemen. Dit alles bij elkaar zorgt voor grote beperkingen ten aanzien van de generaliseerbaarheid van de conclusies en data.
Ter afronding
Het onderzoek levert enkele interessante inzichten op, maar kent grote beperkingen. Interessant is het gegeven dat de gesignaleerde genderonvrede geleidelijk verdwijnt en dat maar bij een hele kleine groep sprake is van een toename. Van belang is ook dat meisjes op bijna alle meetmomenten veel hoger scoren dan de jongens. Ook is van belang dat de percentages bij de GGZ groep veel hoger liggen -vaak twee keer zo hoog) dan bij de andere groep. Er is een duidelijke samenhang tussen genderonvrede en psychosociale problemen. Maar er is ook het nodige af te dingen op deze studie.
1. Belangrijkste probleem is dat er maar één (binaire) stelling wordt gebruikt om ‘genderonvrede’ te vast te stellen. Zoals de onderzoekers zelf ook aangeven is die stelling multi-interpretabel, omdat een positief antwoord zowel kan verwijzen naar de wens om de fysieke kenmerken en daarmee de identiteit van de andere sekse te krijgen als naar de wens om de genderrol van de andere sekse over te nemen. Daarnaast is problematisch dat de stelling binair is (“het andere geslacht”) en dat er voor de respondenten geen ruimte is voor andere, andere non-binaire identiteiten.
2. Bij de interpretatie van de data wreekt zich dat er geen duidelijke definitie is van genderonvrede (gender noncontendedness), een concept dat niet vaak wordt gebruikt in onderzoek naar genderissues.
3. Dat er maar drie antwoordcategorieën zijn (nooit, soms en vaak) is discutabel. De gebruikelijke vijfpuntschaal: ‘nooit, zelden, soms, vaak, altijd’ zou andere cijfers hebben opgeleverd, zoals de onderzoekers ook zelf erkennen. Volgens de onderzoekers kan dit hebben geleid tot een overschatting van de mate waarin genderonvrede voorkomt.
4. Die mogelijke overschatting wordt nog eens bevorderd door het consequent bij elkaar optellen van de cijfers bij ‘soms’ en ‘vaak’, vooral ook omdat de categorie ‘vaak’ bij de meeste meetmomenten zeer lage percentages oplevert, soms zelfs van 0,1 procent (dat zijn 12 jongeren). De categorie ‘soms’ is twee tot vijf keer zo groot als ‘vaak’. Zelfs bij de 2 procent bij wie de onvrede toeneemt antwoordt maar 25 procent van de respondenten met ‘vaak’, dat zijn omgerekend 14 personen.
5. Veel respondenten, zo'n veertig procent haakt af in de loop der jaren. Dat noopt tot voorzichtigheid bij vergelijkingen van meetmomenten en conclusies over af- of toenames. De stelling dat de genderonvrede over de hele linie afneemt is nogal wankel.
6. Een probleem is dat het laatste meetmoment voor de algemene groep in 2016 is, terwijl juist daarna belangrijke ontwikkelingen plaatsvinden zoals de opkomst van non-binair en een grote toename bij de genderklinieken.
7. Genderonvrede komt meer voor bij meisjes en bij jongeren met psychosociale problemen, maar verklaringen daarvoor worden niet geboden, er wordt alleen over gespeculeerd. Hetzelfde geldt voor de aanwijzingen voor ‘late onset’ gendernoncontendedness bij meisjes: wat zijn de oorzaken?
8. Tot slot, het grootste probleem met dit onderzoek zit in het begrip genderonvrede en de vraag hoe serieus of hoe duurzaam die onvrede dan is: is het een enkele gedachte (als jongen kan ik veel meer), of is het een eerste stap in de richting van genderdysforie? Het is jammer dat niet bekend is hoeveel jongeren in deze steekproef uiteindelijk bij een genderkliniek terecht zijn gekomen. Niet veel vermoedelijk, gezien de zeer kleine aantallen respondenten bij de onvrede niet verdwijnt, maar een enigszins toeneemt. En zelfs bij die groep is twijfel. De groep met een stabiele gender noncontendedness is extreem klein (0,1%, 3 personen).
Publiciteit over het onderzoek na afronding van bovenstaand artikel.

